Максимальная равномерно распределенная нагрузка на столешницу: 70 кг.
Максимальная равномерно распределенная нагрузка на полку: 50 кг.
Наличие борта: да.
Высота борта: 40мм.
Материал столешницы: нержавеющая сталь AISI 430.
Толщина металла столешницы: 0,6 мм.
Материал подложки столешницы: ДСП.
Толщина подложки столешницы: 16 мм.
Толщина металла каркаса: 1,5 мм.
Профиль ножек: уголок.
Размер профиля ножек: 35х35.
Тип полки: сплошная.
Высота установки полки от пола: 170/270 мм.
Диапазон регулировки опорных ножек: ±20 мм. Также поставляются столы длиной 800, 900, 1000, 1200, 1500, 1800 мм при ширине 600 мм и высоте 870 мм.
| Бренд | Hessen |
| Материал изделия | каркас: крашенная сталь |
| Длина, мм. | 600 |
| Ширина, мм. | 600 |
| Высота, мм. | 870 |
Характеристики
Ножки с регулиремыми опорами - оцинкованная/ нерж. сталь t=0,8/1,0 мм, выполнены из уголка 40х40мм с подгибом краёв во внутрь. Столешница нерж.сталь, AISI 430 t=0,5 мм. усиление столешницы - ЛДСП (16мм). С нижней перфорированной полкой.
Также поставляются столы разделочно-производственные длиной 600, 800, 950, 1000, 1200 мм из оцинкованной или нерж. стали.
| Бренд | Марихолодмаш |
| Длина, мм. | 600 |
| Глубина, мм. | 600 |
| Высота, мм. | 880 |
Характеристики
Мойка односекционная без бортов. Ножки с регулируемыми опорами - оцинкованная/нерж. сталь, выполнены из уголка 40х40мм. t=0,8/1,0 мм с подгибом краёв во внутрь. Каркас оцинкованная / нерж. сталь t=0,8/1,0 мм. Ванна из нерж. сталь AISI 430 t=0,6 мм (емкости длиной 1,35 и 1,55 из нерж. сталь AISI 430 t=0,8мм). В комплект входит гофросифон. Мойки без отверстия под смеситель. Количество секций: 1. Глубина емкости: 300 мм.
| Бренд | МХМ |
| Длина, мм. | 530 |
| Ширина, мм. | 530 |
| Высота, мм. | 890 |
Характеристики
Внутренние размеры ванны: 1 секция 400*380*300 мм.
Ширина бортов по периметру ванны: 35 мм.
Диаметр сливного отверстия: 50 мм.
Отверстие под смеситель: нет.
Толщина металла ванны: 0,8 мм.
Каркас ванны: разборный.
Толщина металла каркаса: 1,5 мм.
Профиль ножек: уголок.
Размер профиля ножек: 35х35 мм.
Диапазон регулировки опорных ножек, мм ±20.
Также поставляются ванны моечные сварные размером 550х550х870, 650х650х870, 750х750х870 мм.
| Бренд | Hessen |
| Материал изделия | Материал каркаса: оцинкованная сталь |
| Длина, мм. | 470 |
| Ширина, мм. | 450 |
| Высота, мм. | 870 |
Характеристики
Ножки с регулиремыми опорами - оцинкованная/ нерж. сталь t=0,8/1,0 мм, выполнены из уголка 40х40мм с подгибом краёв во внутрь. Столешница нерж.сталь, AISI 430 t=0,5 мм. усиление столешницы - ЛДСП (16мм).
| Бренд | Марихолодмаш |
| Длина, мм. | 1000 |
| Глубина, мм. | 500 |
| Высота, мм. | 880 |
Характеристики
Внутренние размеры ванны: 1 секция 400*380*300 мм.
Ширина бортов по периметру ванны: 35 мм.
Диаметр сливного отверстия: 50 мм.
Отверстие под смеситель: нет.
Толщина металла ванны: 0,8 мм.
Каркас ванны: разборный.
Толщина металла каркаса: 1,5 мм.
Профиль ножек: уголок.
Размер профиля ножек: 35х35 мм.
Диапазон регулировки опорных ножек, мм ±20.
Также поставляются ванны моечные сварные размером 550х550х870, 650х650х870, 750х750х870 мм.
| Бренд | Hessen |
| Материал изделия | Материал каркаса: крашенная сталь |
| Длина, мм. | 470 |
| Ширина, мм. | 450 |
| Высота, мм. | 870 |
Характеристики
Ножки с регулиремыми опорами - оцинкованная/ нерж. сталь t=0,8/1,0 мм, выполнены из уголка 40х40мм с подгибом краёв во внутрь. Столешница нерж.сталь, AISI 430 t=0,5 мм. усиление столешницы - ЛДСП (16мм). С отверстием по центру стола Ø160мм.
Также поставляются столы разделочно-производственные длиной 800, 950, 1200, 1300, 1500, 1800 мм из оцинкованной или нерж. стали.
| Бренд | Марихолодмаш |
| Длина, мм. | 600 |
| Глубина, мм. | 600 |
| Высота, мм. | 880 |
Характеристики
Столы разделочно-производственные предназначены для разделывания и обработки пищевых продуктов, а также для установки кухонного оборудования в предприятиях общественного питания, магазинах, заготовочных предприятиях. Изделия сборно-разборные и поставляются в одной или двух упаковках.
Срок службы столов разделочно-производственных не менее 10 лет.
Ножки с регулиремыми опорами - оцинкованная/ нерж. сталь t=0,8/1,0 мм, выполнены из уголка 40х40мм с подгибом краёв во внутрь. Столешница нерж.сталь, AISI 430 t=0,5 мм. усиление столешницы - ЛДСП (16мм).
Также поставляются столы разделочно-производственные длиной 700, 950, 1200, 1500, 1800 мм из оцинкованной или нерж. стали.
| Бренд | Марихолодмаш |
| Длина, мм. | 700 |
| Глубина, мм. | 700 |
| Высота, мм. | 880 |
Характеристики
Ножки с регулиремыми опорами - оцинкованная/ нерж. сталь t=0,8/1,0 мм, выполнены из уголка 40х40мм с подгибом краёв во внутрь. Столешница нерж.сталь, AISI 430 t=0,5 мм. усиление столешницы - ЛДСП (16мм).
Также поставляются столы разделочно-производственные длиной 700, 800, 950, 1000, 1200, 1500 мм из оцинкованной или нерж. стали.
| Бренд | Марихолодмаш |
| Длина, мм. | 700 |
| Глубина, мм. | 700 |
| Высота, мм. | 880 |
Характеристики
Ножки с регулиремыми опорами - оцинкованная/ нерж. сталь t=0,8/1,0 мм, выполнены из уголка 40х40мм с подгибом краёв во внутрь. Столешница нерж.сталь, AISI 430 t=0,5 мм. усиление столешницы - ЛДСП (16мм). С нижней сплошной полкой (с одной или двумя).
Также поставляются столы разделочно-производственные длиной 600, 700, 800, 900, 950, 1000, 1100, 1200, 1400, 1500, 1600, 1800 мм из оцинкованной или нерж. стали.
| Бренд | Марихолодмаш |
| Длина, мм. | 600 |
| Глубина, мм. | 700 |
| Высота, мм. | 880 |
Характеристики
Максимальная равномерно распределенная нагрузка на столешницу: 70 кг.
Максимальная равномерно распределенная нагрузка на полку: 20 кг.
Наличие борта: нет.
Материал столешницы: нержавеющая сталь AISI 430.
Толщина металла столешницы: 0,6 мм.
Материал подложки столешницы: ДСП.
Толщина подложки столешницы: 16 мм.
Толщина металла каркаса: 1,5 мм.
Профиль ножек: уголок.
Размер профиля ножек: 35х35.
Тип полки: решетка.
Высота установки полки от пола: 170/270 мм.
Диапазон регулировки опорных ножек: ±20 мм.
Также поставляются столы длиной 900, 1000, 1200, 1500, 1800 мм при ширине 700 мм и высоте 870 мм.
| Бренд | Hessen |
| Материал изделия | каркас: оцинкованная сталь |
| Длина, мм. | 800 |
| Ширина, мм. | 700 |
| Высота, мм. | 870 |
Характеристики
Тип полки: настольная.
Материал: нержавеющая сталь AISI430.
Количество уровней: 2.
Толщина металла полки: 0,6 мм.
Профиль каркаса: труба 20*20 мм.
Максимальная равнораспределенная нагрузка: 15 кг. Также поставляются полки длиной 800, 900, 1000, 1200, 1500 мм при ширине 400 мм и высоте 800 мм.
| Бренд | Hessen |
| Длина, мм. | 600 |
| Ширина, мм. | 400 |
| Высота, мм. | 800 |
Характеристики
Столы разделочно-производственные предназначены для разделывания и обработки пищевых продуктов, а также для установки кухонного оборудования в предприятиях общественного питания, магазинах, заготовочных предприятиях. Изделия сборно-разборные и поставляются в одной или двух упаковках.
Срок службы столов разделочно-производственных не менее 10 лет.
Ножки с регулиремыми опорами - оцинкованная/ нерж. сталь t=0,8/1,0 мм, выполнены из уголка 40х40мм с подгибом краёв во внутрь. Столешница нерж.сталь, AISI 430 t=0,5 мм. усиление столешницы - ЛДСП (16мм).
Также поставляются столы разделочно-производственные без бортов длиной 800, 950, 1200, 1500, 1800 мм из оцинкованной или нерж. стали.
| Бренд | Марихолодмаш |
| Длина, мм. | 800 |
| Глубина, мм. | 800 |
| Высота, мм. | 880 |
Характеристики
Ножки с регулиремыми опорами - оцинкованная/ нерж. сталь t=0,8/1,0 мм, выполнены из уголка 40х40мм с подгибом краёв во внутрь. Столешница нерж.сталь, AISI 430 t=0,5 мм. усиление столешницы - ЛДСП (16мм). С нижней сплошной полкой.
Также поставляются столы разделочно-производственные без бортов длиной 700, 800, 900, 950, 1000, 1200, 1400, 1500, 1800 мм из оцинкованной или нерж. стали.
| Бренд | Марихолодмаш |
| Длина, мм. | 700 |
| Глубина, мм. | 700 |
| Высота, мм. | 880 |
Характеристики
Ножки с регулиремыми опорами - оцинкованная/ нерж. сталь t=0,8/1,0 мм, выполнены из уголка 40х40мм с подгибом краёв во внутрь. Столешница нерж.сталь, AISI 430 t=0,5 мм. усиление столешницы - ЛДСП (16мм). С нижней сплошной полкой.
Также поставляются столы разделочно-производственные длиной 600, 950, 1200, 1500, 1800 мм из оцинкованной или нерж. стали.
| Бренд | Марихолодмаш |
| Длина, мм. | 600 |
| Глубина, мм. | 600 |
| Высота, мм. | 880 |
Характеристики
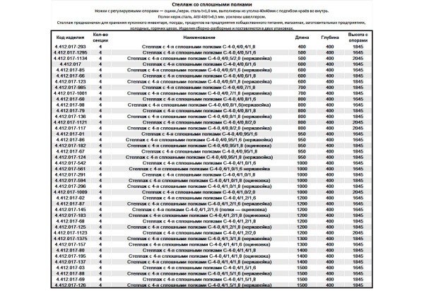
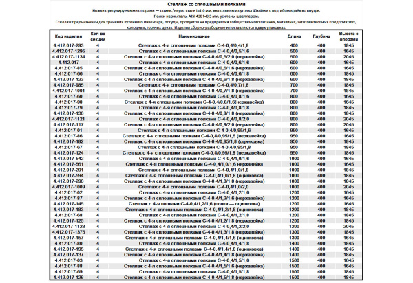
Ножки с регулируемыми опорами - оцинк./нерж. сталь t=0,8/1,0 мм, выполнены из уголка 40х40мм с подгибом краёв во внутрь. Полки нерж.сталь, AISI 430 t=0,5 мм. усилены швеллером.
Также поставляются стеллажи со сплошными полками при глубине 400 мм и высоте 1645 мм длиной 500, 600, 800, 950, 1000, 1200, 1300, 1500 мм из нерж. стали или оцинкованной стали.
| Бренд | Марихолодмаш |
| Длина, мм. | 500 |
| Глубина, мм. | 400 |
| Высота, мм. | 1645 |
Характеристики
Столы разделочно-производственные предназначены для разделывания и обработки пищевых продуктов, а также для установки кухонного оборудования в предприятиях общественного питания, магазинах, заготовочных предприятиях. Изделия сборно-разборные и поставляются в одной или двух упаковках.
Срок службы столов разделочно-производственных не менее 10 лет.
Ножки с регулиремыми опорами - оцинкованная/ нерж. сталь t=0,8/1,0 мм, выполнены из уголка 40х40мм с подгибом краёв во внутрь. Столешница нерж.сталь, AISI 430 t=0,5 мм. усиление столешницы - ЛДСП (16мм).
Также поставляются столы разделочно-производственные длиной 800, 950, 1200, 1500, 1800 мм из оцинкованной или нерж. стали.
| Бренд | Марихолодмаш |
| Длина, мм. | 800 |
| Глубина, мм. | 800 |
| Высота, мм. | 880 |
Характеристики
Ножки с регулируемыми опорами - оцинк./нерж. сталь t=0,8/1,0 мм, выполнены из уголка 40х40мм с подгибом краёв во внутрь. Полки нерж.сталь, AISI 430 t=0,5 мм. усилены швеллером.
Также поставляются стеллажи со сплошными полками при глубине 400 мм и высоте 1845 мм длиной 400, 500, 600, 700, 800, 950, 1000, 1100, 1200, 1300, 1400, 1500 мм из нерж. стали или оцинкованной стали.
| Бренд | Марихолодмаш |
| Длина, мм. | 400 |
| Глубина, мм. | 400 |
| Высота, мм. | 1845 |
Характеристики
Ножки с регулиремыми опорами - оцинкованная/ нерж. сталь t=0,8/1,0 мм, выполнены из уголка 40х40мм с подгибом краёв во внутрь. Столешница нерж.сталь, AISI 430 t=0,5 мм. усиление столешницы - ЛДСП (16мм). С нижней сплошной полкой (с одной или двумя).
Также поставляются столы разделочно-производственные длиной 600, 950, 1200, 1500, 1800 мм из оцинкованной или нерж. стали.
| Бренд | Марихолодмаш |
| Длина, мм. | 600 |
| Глубина, мм. | 600 |
| Высота, мм. | 880 |
Характеристики
Максимальная равномерно распределенная нагрузка на столешницу: 70 кг.
Максимальная равномерно распределенная нагрузка на полку: 20 кг.
Наличие борта: да.
Высота борта: 40мм.
Материал столешницы: нержавеющая сталь AISI 430.
Толщина металла столешницы: 0,6 мм.
Материал подложки столешницы: ДСП.
Толщина подложки столешницы: 16 мм.
Толщина металла каркаса: 1,5 мм.
Профиль ножек: уголок.
Размер профиля ножек: 35х35.
Тип полки: решетка.
Высота установки полки от пола: 170/270 мм.
Диапазон регулировки опорных ножек: ±20 мм. Также поставляются столы длиной 900, 1000, 1200, 1500, 1800 мм при ширине 700 мм и высоте 870 мм.
| Бренд | Hessen |
| Материал изделия | каркас: оцинкованная сталь |
| Длина, мм. | 800 |
| Ширина, мм. | 700 |
| Высота, мм. | 870 |
Характеристики
_photo-resizer.ru.webp)







